Gradient Descent Algorithm
Table Of Contents:
- What Is Gradient Descent?
- Algorithm Requirements.
- What Is Gradient?
- How Gradient Descent Algorithm Works?
(1) What Is Gradient Descent?
- Gradient descent (GD) is an iterative first-order optimisation algorithm, used to find a local minimum/maximum of a given function.
- This method is commonly used in machine learning (ML) and deep learning (DL) to minimise a cost/loss function (e.g. in a linear regression).
- Gradient Descent algorithm is the backbone of Machine Learning because whatever the loss function you give, it will find out its local minimum value.
(2) Algorithm Requirements.
- The Gradient Descent algorithm does not work for all functions. There are two specific requirements. A function has to be:
- differentiable
- convex
Differentiable:
- First, what does it mean it has to be differentiable? If a function is differentiable it has a derivative for each point in its domain — not all functions meet these criteria.
- First, let’s see some examples of functions meeting this criterion:
- Typical non-differentiable functions have a step a cusp or a discontinuity:
Convex:
- In simple terms, a function is convex if, for any two points within its domain, the line segment connecting those points lies entirely above or on the graph of the function.
- In simple terms, a convex function refers to a function whose graph is shaped like a cup ∪
(or a straight line like a linear function), while a concave function‘s graph is shaped like a cap ∩
.
- Another way to check mathematically if a univariate function is convex is to calculate the second derivative and check if its value is always bigger than 0.
(3) What Is Gradient ?
- Intuitively it is a slope of a curve at a given point in a specified direction.
- In the case of a univariate function, it is simply the first derivative at a selected point.
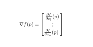
- In the case of a multivariate function, it is a vector of derivatives in each main direction (along variable axes).
- Because we are interested only in a slope along one axis and we don’t care about others these derivatives are called partial derivatives.
- A gradient for an n-dimensional function f(x) at a given point p is defined as follows:
Example Of Gradient:
- The upside-down triangle is a so-called nabla symbol and you read it as “del”.
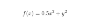
- To better understand how to calculate it let’s do a hand calculation for an exemplary 2-dimensional function below.
(4) How Gradient Descent Algorithm Works?
- The main goal of the Gradient Descent algorithm is to find out the minima of the function.
- At the point of minima, we have the minimum loss, hence we can find out the parameters where we have the minimum loss.
- So let us see how to reach the minimum of the function.
Step 1: Start From Any Arbitrary Point
- You can choose any point in the curve and start from there.
Step 2: Decide Which Direction To Move.
What Is Slope Of A Curve?
- You can move upward from the starting point or downward from the starting point.
- The slope at that point will decide the direction of the movement.
- The slope is defined as a Change in ‘y’ divided by a change in ‘x’.
- Here y-axis represents the Error term and the x-axis represents the parameters affecting the error term.
- -ve slope signifies if you increase x(beta), y(Error) is decreasing.
- +ve slope signifies if you increase x(beta), y(Error) also increases.
How To Decide Which Direction To Move:
- -ve slope signifies if you increase x(beta), y(Error) is decreasing.
- +ve slope signifies if you increase x(beta), y(Error) also increases.
- If you have a -ve slope your Error decreases if you increase the x value.
- Hence you must move in the increasing direction of ‘x’.
- If you have a +ve slope your Error increases if you increase the ‘x’ value.
- Our goal is to decrease the Error hence we should move decreasing direction of ‘x’.
- Mathematically we can represent this as:
- From the above formula, we can determine the new value of ‘b’ (x-Parameter).
Step 3: Decide When To Stop
- Our main stopping point is the minima of that function.
- But how our algorithm will know where to stop?
- You can notice at the minimum point our slope is zero.
- Hence b(new) = b(old) will be the same.
- That means when you see your parameter(b) is not changing much at that time you can stop your process.
Step 4: Decide How Much To Move
- There is a sure chance that you may miss the minimum point in the graph if you move big steps at a time.
- Hence you should specify how much you should move in the graph so that you won’t miss the minimum point.
Learning Rate:
- The learning rate is a hyperparameter that determines the step size or the rate at which the parameters are updated during the training process of an optimization algorithm, such as Gradient Descent.
- It controls how much the parameters of a model are adjusted in response to the calculated gradients of the objective function.
Example Of Learning Rate:
- The animation above shows steps taken by the GD algorithm for learning rates of 0.1 and 0.8.
- As you see, for the smaller learning rate, as the algorithm approaches the minimum the steps are getting gradually smaller.
- For a bigger learning rate, it is jumping from one side to another before converging.

